首頁
  • 年級
  • 數學
  • Language
    English English (Canada) English (United Kingdom) 中文(台灣) 中文(中国) français español português Deutsch Nederlands italiano svenska norsk suomi dansk русский العربية 日本語 한국어 ไทย Tiếng Việt हिन्दी
  • English
數學課程
數數, 寫數字 寫數字 數數字 加法 5以內加法 10以內加法 20以內加法 加法-100以內 1000以內加法 2位數加法 3位數加法 4位數加法 5位數加法 減法 10以內减法 20以內减法 2位數减法 3位數减法 乘法 9x9 乘法 20x20 乘法 2位數乘法 3位數乘法 除法 除法 (2位數) 除法 (3位數) 四則運算規則 整數四則運算 分數四則運算 小數四則運算 因數分解, 公因數, 公倍數 最大公因數 最小公倍數 因數計算 分數 分數基礎 分數加法 分數減法 分數乘法 分數除法 小數 小數加法 小數减法 小數乘法 小數點除法 小數乘法(10倍數) 指數 指數基礎 指數(代數基礎) 指數加減乘除四則運算 百分比 百分比與分數轉換 百分比與小數轉換 數字的百分比 代數方程式 不等式 一元一次方程式 二元一次方程式 多項式方程式 多項式因式分解 求解多項式方程 冪和指數
年級 幼兒園 國小一年級 國小二年級 國小三年級 國小四年級 國小五年級 國小六年級 國中一年級 國中二年級 國中三年級 高中一年級 高中二年級 高中三年級
  1. 首頁

  2. 四則運算規則

  3. 小數四則運算

  4. 4個分數小數的四則運算

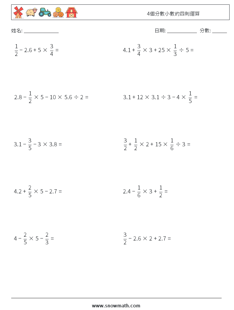
4個分數小數的四則運算

4個分數,小數的四則運算規則 ,由左而右算,有(括號)先算, 先乘除後加減 (先×÷ 後+-) , 加減乘除括號練習題
4個分數小數的四則運算 數學練習題 10
4個分數小數的四則運算 數學練習題 10
4個分數小數的四則運算 數學練習題 11
4個分數小數的四則運算 數學練習題 11
4個分數小數的四則運算 數學練習題 12
4個分數小數的四則運算 數學練習題 12
4個分數小數的四則運算 數學練習題 13
4個分數小數的四則運算 數學練習題 13
4個分數小數的四則運算 數學練習題 14
4個分數小數的四則運算 數學練習題 14
4個分數小數的四則運算 數學練習題 15
4個分數小數的四則運算 數學練習題 15
4個分數小數的四則運算 數學練習題 16
4個分數小數的四則運算 數學練習題 16
4個分數小數的四則運算 數學練習題 17
4個分數小數的四則運算 數學練習題 17
4個分數小數的四則運算 數學練習題 18
4個分數小數的四則運算 數學練習題 18
  • ‹ Previous
  • 1
  • 2
  • Next ›
  • Back to top
  • 隱私政策
  • 關於我們
  • 聯繫我們

Copyrights by www.SnowMath.com