Accueil
  • Classe
  • Mathématiques
  • Language
    English English (Canada) English (United Kingdom) 中文(台灣) 中文(中国) français español português Deutsch Nederlands italiano svenska norsk suomi dansk русский العربية 日本語 한국어 ไทย Tiếng Việt हिन्दी
  • English
Cours de mathématiques
Compter, apprendre les nombres Écrire des nombres Compter des nombres Addition Addition jusqu'à 5 Addition jusqu'à 10 Addition dans les 20 Addition jusqu'à 100 Addition jusqu'à 1000 Addition à 2 chiffres Addition à 3 chiffres Addition à 4 chiffres Addition à 5 chiffres Soustraction Soustraction à moins de 10 Soustraction dans les 20 Soustraction à 2 chiffres Soustraction à 3 chiffres Multiplication Multiplication 9x9 Multiplication 20x20 Multiplication à 2 chiffres Multiplication à 3 chiffres Division Division ( 2 chiffres ) Division ( 3 chiffres ) Ordre des opérations ordre des opérations avec des nombres entiers ordre des opérations avec les fractions ordre des opérations avec décimales Factorisation des nombres premiers Plus grand facteur commun Plus petit commun multiple Facteurs d'un nombre Fractions Fractions équivalentes Fractions Addition Fractions Soustraction Fractions Multiplication Division des fractions Décimales Addition de décimales Soustraction de décimales Multiplication décimales Division décimale Multiplier les nombres décimaux par des puissances de dix Exposants Exposants simples Exposants (bases d'algèbre) Arithmétique des exposants Pourcentages Pourcentages et fractions Pourcentages et nombres décimaux Pourcentages de nombres Algèbre Inégalités Équations linéaires à une variable Équations linéaires à deux variables Polynômes Factorisation de polynômes Résolution d'équations polynomiales Puissances et exposants
Classe Maternelle CP CE1 CE2 CM1 CM2 6ème 5ème 4ème 3ème 2ème 1ème Terminale
  1. Accueil

  2. Ordre des opérations

  3. ordre des opérations avec décimales

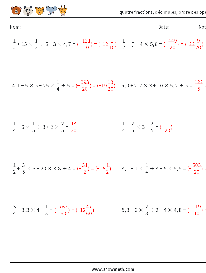
  4. (10) quatre fractions, décimales, ordre des opérations

  5. Fiches d'Exercices de Mathématiques 17

Ouvrir le PDF
Télécharger le PDF
 
 
(10) quatre fractions, décimales, ordre des opérations Fiches d'Exercices de Mathématiques 17


(10) quatre fractions, décimales, ordre des opérations Fiches d'Exercices de Mathématiques 17 Question, Réponse


  • Back to top
  • Politique de confidentialité
  • À propos de nous
  • Contactez-nous

Copyrights by www.SnowMath.com