Главная
Оценка
математика
Language
English
English (Canada)
English (United Kingdom)
中文(台灣)
中文(中国)
français
español
português
Deutsch
Nederlands
italiano
svenska
norsk
suomi
dansk
русский
العربية
日本語
한국어
ไทย
Tiếng Việt
हिन्दी
English
🌞 Легкий режим
🌙 Темный режим
Курсы математики
Счет, учить числа
Написание чисел
Подсчет чисел
Сложение
Сложение до 5
Сложение до 10
Сложение в пределах 20
Сложение до 100
Сложение до 1000
Сложение 2-х цифр
3-значное сложение
4-значное сложение
5-значное сложение
Вычитание
Вычитание в пределах 10
Вычитание в пределах 20
2-значное вычитание
3-значное вычитание
Умножение
Умножение 9x9
Умножение 20x20
2-значное умножение
3-значное умножение
Деление
Деление (2 цифры)
Деление (3 цифры)
Порядок выполнения операций
порядок операций с целыми числами
порядок действий с дробями
порядок операций с десятичными знаками
Prime Factorization
Наибольший общий фактор
Наименьшее общее кратное
Факторы числа
Дроби
Эквивалентные дроби
Сложение дробей
Вычитание дробей
Умножение дробей
Отдел дробей
Десятичные дроби
Сложение десятичных знаков
Вычитание десятичных знаков
Умножение десятичных знаков
Десятичные дроби
Умножение десятичных знаков на степень десяти
Показатели
Простые экспоненты
Показатели (основы алгебры)
Арифметика показателей
Проценты
Проценты и дроби
Проценты и десятичные дроби
Проценты чисел
Алгебра
Неравенства
Линейные уравнения с одной переменной
Линейные уравнения с двумя переменными
Полиномы
Факторизация многочленов
Решение полиномиальных уравнений
Степени и экспоненты
Оценка
детский сад
1 класс
2 класс
3 класс
4 класс
5 класс
6 класс
7 класс
8 класс
9 класс
10 класс
11 класс
12 класс
Главная
Порядок выполнения операций
порядок операций с десятичными знаками
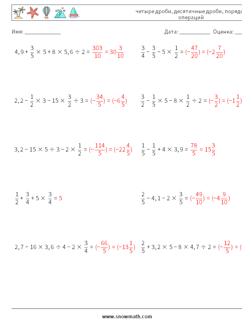
(10) четыре дроби, десятичные дроби, порядок операций
Рабочие листы по математике 18
Распечатать PDF
Открыть PDF
Скачать PDF