Home
  • diploma scolastico
  • Math
  • Language
    English English (Canada) English (United Kingdom) 中文(台灣) 中文(中国) français español português Deutsch Nederlands italiano svenska norsk suomi dansk русский العربية 日本語 한국어 ไทย Tiếng Việt हिन्दी
  • English
Corsi di matematica
Conteggio, imparare i numeri Scrivere numeri Conteggio dei numeri Addizione Addizione fino a 5 Addizione fino a 10 Addizione entro 20 Addizione fino a 100 Addizione fino a 1000 Addizione a 2 cifre Addizione a 3 cifre Addizione a 4 cifre Addizione a 5 cifre Sottrazione Sottrazione entro 10 Sottrazione entro 20 Sottrazione a 2 cifre Sottrazione a 3 cifre Moltiplicazione Moltiplicazione 9x9 Moltiplicazione 20x20 Moltiplicazione a 2 cifre Moltiplicazione a 3 cifre Divisione Divisione ( 2 cifre ) Divisione ( 3 cifre ) Ordine delle operazioni ordine delle operazioni con numeri interi ordine delle operazioni con le frazioni ordine delle operazioni con i decimali Scomposizione in fattori primi Massimo comune fattore Minimo comune multiplo Fattori di un numero Frazioni Frazioni equivalenti Addizione di frazioni Frazioni Sottrazione Moltiplicazione frazioni Divisione frazioni Decimali Addizione di decimali Decimali Sottrazione Moltiplicazione decimale Divisione decimali Moltiplica i decimali per potenze di dieci Esponenti Esponenti Semplici Esponenti ( basi di algebra ) Aritmetica degli esponenti Percentuali Percentuali e Frazioni Percentuali e Decimali Percentuali di numeri Algebra Disuguaglianze Equazioni lineari a una variabile Equazioni lineari a due variabili Polinomi Fattorizzazione di polinomi Risoluzione di equazioni polinomiali Potenze ed esponenti
diploma scolastico Scuola dell'infanzia GRADO 1 GRADO 2 GRADO 3 GRADO 4 GRADO 5 GRADO 6 GRADO 7 GRADO 8 GRADO 9 GRADO 10 GRADO 11 GRADO 12
  1. Home

  2. Ordine delle operazioni

  3. ordine delle operazioni con i decimali

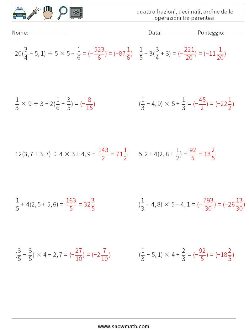
  4. (10) quattro frazioni, decimali, ordine delle operazioni tra parentesi

  5. Fogli di lavoro di matematica 9

Apri PDF
Scarica PDF
 
 
(10) quattro frazioni, decimali, ordine delle operazioni tra parentesi Fogli di lavoro di matematica 9


(10) quattro frazioni, decimali, ordine delle operazioni tra parentesi Fogli di lavoro di matematica 9 Domanda, Risposta


  • Back to top
  • Informativa sulla privacy
  • Chi siamo
  • Contattaci

Copyrights by www.SnowMath.com