होम
स्कूल का दर्जा
मठ
Language
English
English (Canada)
English (United Kingdom)
中文(台灣)
中文(中国)
français
español
português
Deutsch
Nederlands
italiano
svenska
norsk
suomi
dansk
русский
العربية
日本語
한국어
ไทย
Tiếng Việt
हिन्दी
English
🌞 लाइट मोड
🌙 डार्क मोड
गणित पाठ्यक्रम
गिनती, संख्या जानें
अंक लिखना
गिनती की संख्या
जोड़
5 . तक जोड़
10 . तक का जोड़
20 . के भीतर जोड़
जोड़ १०० . तक
१००० . तक जोड़
2-अंकों का जोड़
3-अंकों का जोड़
4-अंकों का जोड़
5-अंकों का जोड़
घटाव
10 . के भीतर घटाव
20 . के भीतर घटाव
2-अंकों का घटाव
3-अंकों का घटाव
गुणन
गुणा 9x9
गुणा 20x20
2-अंकीय गुणन
3-अंकीय गुणन
भाग
भाग (2 अंक)
भाग (3 अंक)
संचालन का क्रम
पूर्णांकों के साथ संचालन का क्रम
भिन्नों के साथ संचालन का क्रम
दशमलव के साथ संचालन का क्रम
प्रधान गुणनखंड
सबसे बड़ा सामान्य कारक
कम से कम सामान्य गुणक
एक संख्या के कारक
भिन्न
समतुल्य भिन्न
भिन्न जोड़
अंश घटाव
भिन्न गुणन
भिन्न प्रभाग
दशमलव
दशमलव जोड़
दशमलव घटाव
दशमलव गुणन
दशमलव भाग
दशमलव को दस . की घात से गुणा करें
घातांक
सरल घातांक
घातांक (बीजगणित मूल बातें)
घातांक का अंकगणित
प्रतिशत
प्रतिशत और भिन्न
प्रतिशत और दशमलव
संख्याओं का प्रतिशत
बीजगणित
असमानताएँ
एक-चर रैखिक समीकरण
दो-चर रैखिक समीकरण
बहुपद
बहुपदों का गुणनखंड
बहुपद समीकरणों को हल करना
घात और घातांक
स्कूल का दर्जा
प्राथमिक विद्यालय
ग्रेड 1
ग्रेड 2
ग्रेड 3
ग्रेड 4
ग्रेड 5
ग्रेड 6
ग्रेड 7
ग्रेड 8
ग्रेड 9
ग्रेड 10
ग्रेड 11
ग्रेड 12
होम
संचालन का क्रम
दशमलव के साथ संचालन का क्रम
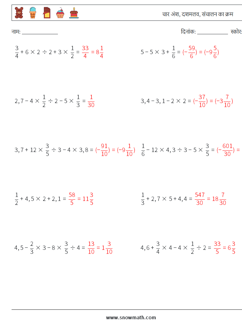
(10) चार अंश, दशमलव, संचालन का क्रम
गणित कार्यपत्रक 2
पीडीएफ प्रिंट करें
पीडीएफ खोलें
पीडीएफ डाउनलोड करें