Trang chủ
  • Lớp
  • Toán học
  • Language
    English English (Canada) English (United Kingdom) 中文(台灣) 中文(中国) français español português Deutsch Nederlands italiano svenska norsk suomi dansk русский العربية 日本語 한국어 ไทย Tiếng Việt हिन्दी
  • English
Các khóa học Toán
Đếm, Học số Viết số Đếm số Phép cộng lên đến 5 Phép cộng lên đến 10 Phép cộng trong vòng 20 Phép cộng lên đến 100 Phép cộng lên đến 1000 Phép cộng 2 chữ số Phép cộng 3 chữ số Phép cộng 4 chữ số Phép cộng 5 chữ số Phép trừ Phép trừ trong vòng 10 Phép trừ trong vòng 20 Phép trừ 2 chữ số Phép trừ 3 chữ số Phép nhân Phép nhân 9x9 Phép nhân 20x20 Phép nhân 2 chữ số Phép nhân 3 chữ số Phép chia (2 chữ số) Phép chia (3 chữ số) Thứ tự hoạt động thứ tự của các phép toán với số nguyên thứ tự của các phép toán với phân số thứ tự của các phép toán với số thập phân Các yếu tố của một số Phép cộng phân số Phân số Nhân Phép chia phân số Phép cộng số thập phân Phép trừ số thập phân Phép nhân số thập phân Phép chia số thập phân Nhân số thập phân với lũy thừa của mười Số mũ đơn giản Số mũ (Khái niệm cơ bản về đại số) Số học của số mũ Phần trăm và phân số Phần trăm và Số thập phân Phần trăm số Phương trình tuyến tính một biến Phương trình tuyến tính hai biến Đa thức Nhân tử của đa thức Giải phương trình đa thức
Lớp mẫu giáo Lớp 1 Lớp 2 Lớp 3 Lớp 4 Lớp 5 Lớp 6 Lớp 7 Lớp 8 Lớp 9 Lớp 10 Lớp 11 Lớp 12
  1. Trang chủ

  2. Đa thức

  3. Đơn giản hóa đa thức

Đơn giản hóa đa thức

Đơn giản hóa đa thức, toán trung học phổ thông, trang tính toán miễn phí.
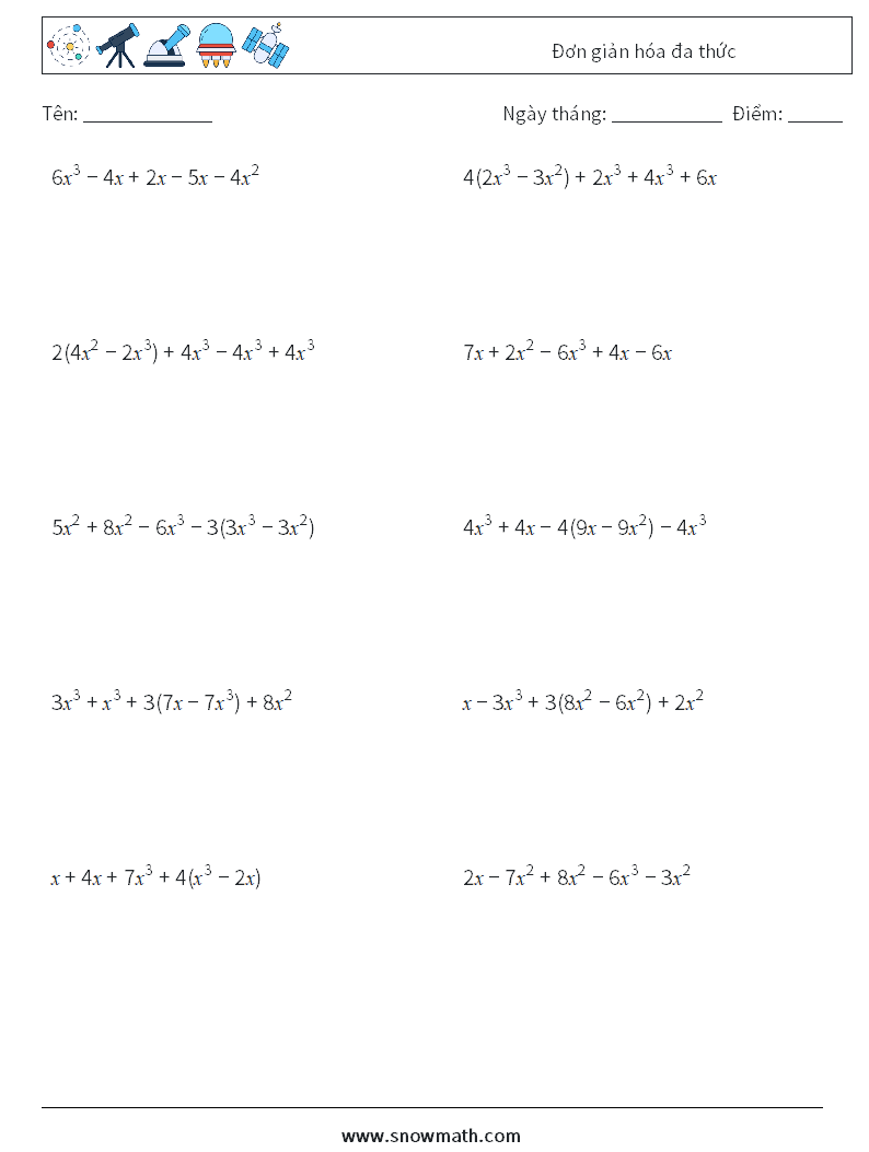
Đơn giản hóa đa thức Bảng tính toán học 1
Đơn giản hóa đa thức Bảng tính toán học 1
Đơn giản hóa đa thức Bảng tính toán học 2
Đơn giản hóa đa thức Bảng tính toán học 2
Đơn giản hóa đa thức Bảng tính toán học 3
Đơn giản hóa đa thức Bảng tính toán học 3
Đơn giản hóa đa thức Bảng tính toán học 4
Đơn giản hóa đa thức Bảng tính toán học 4
Đơn giản hóa đa thức Bảng tính toán học 5
Đơn giản hóa đa thức Bảng tính toán học 5
Đơn giản hóa đa thức Bảng tính toán học 6
Đơn giản hóa đa thức Bảng tính toán học 6
Đơn giản hóa đa thức Bảng tính toán học 7
Đơn giản hóa đa thức Bảng tính toán học 7
Đơn giản hóa đa thức Bảng tính toán học 8
Đơn giản hóa đa thức Bảng tính toán học 8
Đơn giản hóa đa thức Bảng tính toán học 9
Đơn giản hóa đa thức Bảng tính toán học 9
  • Back to top
  • Chính sách quyền riêng tư
  • Về chúng tôi
  • Liên hệ với chúng tôi

Copyrights by www.SnowMath.com