หน้าแรก
เกรด
คณิตศาสตร์
Language
English
English (Canada)
English (United Kingdom)
中文(台灣)
中文(中国)
français
español
português
Deutsch
Nederlands
italiano
svenska
norsk
suomi
dansk
русский
العربية
日本語
한국어
ไทย
Tiếng Việt
हिन्दी
English
🌞 โหมดแสง
🌙 โหมดมืด
หลักสูตรคณิตศาสตร์
นับเลข เรียนเลข
การเขียนตัวเลข
นับเลข
บวก
การบวกสูงสุด 5
การบวกสูงสุด 10
การบวกภายใน 20
การบวกสูงสุด 100
การบวกสูงสุด 1,000
การบวกเลข 2 หลัก
การบวก 3 หลัก
การบวก 4 หลัก
การบวก 5 หลัก
การลบ
การลบภายใน 10
การลบภายใน 20
การลบ 2 หลัก
การลบ 3 หลัก
คูณ
คูณ 9x9
คูณ 20x20
การคูณ 2 หลัก
การคูณ 3 หลัก
กอง
หาร ( 2 หลัก )
หาร ( 3 หลัก )
ลำดับการดำเนินการ
ลำดับของการดำเนินการกับจำนวนเต็ม
ลำดับของการดำเนินการกับเศษส่วน
ลำดับของการดำเนินการที่มีทศนิยม
แยกตัวประกอบเฉพาะ
Greatest Common Factor
ตัวคูณร่วมน้อย
ตัวประกอบของตัวเลข
เศษส่วน
เศษส่วนเทียบเท่า
การบวกเศษส่วน
การลบเศษส่วน
การคูณเศษส่วน
กองเศษส่วน
ทศนิยม
การบวกทศนิยม
การลบทศนิยม
การคูณทศนิยม
กองทศนิยม
คูณทศนิยมด้วยกำลังสิบ
เลขยกกำลัง
เลขยกกำลังอย่างง่าย
เลขชี้กำลัง ( พื้นฐานพีชคณิต )
เลขคณิตของเลขชี้กำลัง
เปอร์เซ็นต์
เปอร์เซ็นต์และเศษส่วน
เปอร์เซ็นต์และทศนิยม
เปอร์เซ็นต์ของตัวเลข
พีชคณิต
ความไม่เท่าเทียมกัน
สมการเชิงเส้นหนึ่งตัวแปร
สมการเชิงเส้นสองตัวแปร
พหุนาม
การแยกตัวประกอบของพหุนาม
การแก้สมการพหุนาม
เลขยกกำลังและเลขยกกำลัง
เกรด
อนุบาล
Prathom 1
Prathom 2
Prathom 3
Prathom 4
Prathom 5
Prathom 6
Matthayom 1
Matthayom 2
MMatthayom 3
Matthayom 4
Matthayom 5
Matthayom 6
หน้าแรก
ลำดับการดำเนินการ
ลำดับของการดำเนินการที่มีทศนิยม
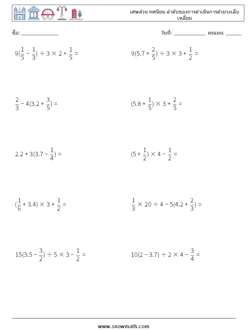
(10) เศษส่วน ทศนิยม ลำดับของการดำเนินการด้วยวงเล็บเหลี่ยม
(10) เศษส่วน ทศนิยม ลำดับของการดำเนินการด้วยวงเล็บเหลี่ยม
สี่เศษส่วนและทศนิยม ลำดับการดำเนินการด้วยวงเล็บ
(10) เศษส่วน ทศนิยม ลำดับของการดำเนินการด้วยวงเล็บเหลี่ยม ใบงานคณิตศาสตร์ 10
(10) เศษส่วน ทศนิยม ลำดับของการดำเนินการด้วยวงเล็บเหลี่ยม ใบงานคณิตศาสตร์ 11
(10) เศษส่วน ทศนิยม ลำดับของการดำเนินการด้วยวงเล็บเหลี่ยม ใบงานคณิตศาสตร์ 12
(10) เศษส่วน ทศนิยม ลำดับของการดำเนินการด้วยวงเล็บเหลี่ยม ใบงานคณิตศาสตร์ 13
(10) เศษส่วน ทศนิยม ลำดับของการดำเนินการด้วยวงเล็บเหลี่ยม ใบงานคณิตศาสตร์ 14
(10) เศษส่วน ทศนิยม ลำดับของการดำเนินการด้วยวงเล็บเหลี่ยม ใบงานคณิตศาสตร์ 15
(10) เศษส่วน ทศนิยม ลำดับของการดำเนินการด้วยวงเล็บเหลี่ยม ใบงานคณิตศาสตร์ 16
(10) เศษส่วน ทศนิยม ลำดับของการดำเนินการด้วยวงเล็บเหลี่ยม ใบงานคณิตศาสตร์ 17
(10) เศษส่วน ทศนิยม ลำดับของการดำเนินการด้วยวงเล็บเหลี่ยม ใบงานคณิตศาสตร์ 18
‹ Previous
1
2
Next ›