Startseite
  • Schulnote
  • Mathe
  • Language
    English English (Canada) English (United Kingdom) 中文(台灣) 中文(中国) français español português Deutsch Nederlands italiano svenska norsk suomi dansk русский العربية 日本語 한국어 ไทย Tiếng Việt हिन्दी
  • English
Mathematikkurse
Zählen, Zahlen lernen Zahlen schreiben Zahlen zählen Addition Addition bis 5 Addition bis 10 Addition innerhalb von 20 Addition bis 100 Addition bis 1000 2-stellige Addition 3-stellige Addition 4-stellige Addition 5-stellige Addition Subtraktion Subtraktion innerhalb von 10 Subtraktion innerhalb von 20 2-stellige Subtraktion 3-stellige Subtraktion Multiplikation Multiplikation 9x9 Multiplikation 20x20 2-stellige Multiplikation 3-stellige Multiplikation Division Division ( 2 Stellen ) Division ( 3 Stellen ) Reihenfolge der Operationen Reihenfolge der Operationen mit ganzen Zahlen Reihenfolge der Operationen mit Brüchen Reihenfolge der Operationen mit Dezimalstellen Primfaktorzerlegung Größter gemeinsamer Faktor Kleinstes gemeinsames Vielfaches Faktoren einer Zahl Brüche Äquivalente Brüche Brüche Addition Brüche Subtraktion Brüche Multiplikation Brüche Division Dezimalstellen Dezimalstellen Addition Dezimalsubtraktion Multiplikation mit Dezimalzahlen Dezimaltrennzeichen Multiplizieren Sie Dezimalzahlen mit Zehnerpotenzen Exponenten Einfache Exponenten Exponenten (Algebra-Grundlagen) Arithmetik der Exponenten Prozente Prozente und Brüche Prozente und Dezimalzahlen Prozentzahlen Algebra Ungleichungen Lineare Gleichungen mit einer Variablen Lineare Gleichungen mit zwei Variablen Polynome Faktorisierung von Polynomen Lösen von Polynomgleichungen Potenzen und Exponenten
Schulnote Kindergärten 1. Klasse 2. Klasse 3. Klasse 4. Klasse 5. Klasse 6. Klasse 7. Klasse 8. Klasse 9. Klasse 10. Klasse 11. Klasse 12. Klasse
  1. Startseite

  2. Reihenfolge der Operationen

  3. Reihenfolge der Operationen mit Dezimalstellen

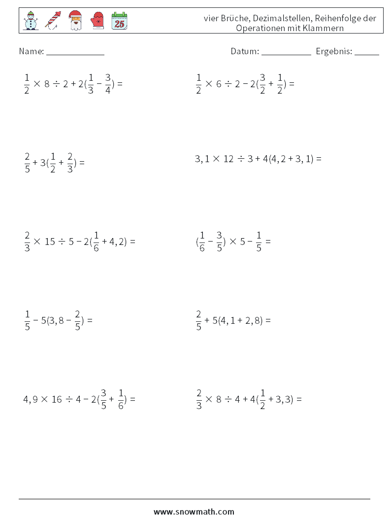
  4. (10) vier Brüche, Dezimalstellen, Reihenfolge der Operationen mit Klammern

(10) vier Brüche, Dezimalstellen, Reihenfolge der Operationen mit Klammern

vier Brüche und Dezimalzahlen, Reihenfolge der Operationen mit Klammern
(10) vier Brüche, Dezimalstellen, Reihenfolge der Operationen mit Klammern Mathe-Arbeitsblätter 1
(10) vier Brüche, Dezimalstellen, Reihenfolge der Operationen mit Klammern Mathe-Arbeitsblätter 1
(10) vier Brüche, Dezimalstellen, Reihenfolge der Operationen mit Klammern Mathe-Arbeitsblätter 2
(10) vier Brüche, Dezimalstellen, Reihenfolge der Operationen mit Klammern Mathe-Arbeitsblätter 2
(10) vier Brüche, Dezimalstellen, Reihenfolge der Operationen mit Klammern Mathe-Arbeitsblätter 3
(10) vier Brüche, Dezimalstellen, Reihenfolge der Operationen mit Klammern Mathe-Arbeitsblätter 3
(10) vier Brüche, Dezimalstellen, Reihenfolge der Operationen mit Klammern Mathe-Arbeitsblätter 4
(10) vier Brüche, Dezimalstellen, Reihenfolge der Operationen mit Klammern Mathe-Arbeitsblätter 4
(10) vier Brüche, Dezimalstellen, Reihenfolge der Operationen mit Klammern Mathe-Arbeitsblätter 5
(10) vier Brüche, Dezimalstellen, Reihenfolge der Operationen mit Klammern Mathe-Arbeitsblätter 5
(10) vier Brüche, Dezimalstellen, Reihenfolge der Operationen mit Klammern Mathe-Arbeitsblätter 6
(10) vier Brüche, Dezimalstellen, Reihenfolge der Operationen mit Klammern Mathe-Arbeitsblätter 6
(10) vier Brüche, Dezimalstellen, Reihenfolge der Operationen mit Klammern Mathe-Arbeitsblätter 7
(10) vier Brüche, Dezimalstellen, Reihenfolge der Operationen mit Klammern Mathe-Arbeitsblätter 7
(10) vier Brüche, Dezimalstellen, Reihenfolge der Operationen mit Klammern Mathe-Arbeitsblätter 8
(10) vier Brüche, Dezimalstellen, Reihenfolge der Operationen mit Klammern Mathe-Arbeitsblätter 8
(10) vier Brüche, Dezimalstellen, Reihenfolge der Operationen mit Klammern Mathe-Arbeitsblätter 9
(10) vier Brüche, Dezimalstellen, Reihenfolge der Operationen mit Klammern Mathe-Arbeitsblätter 9
  • ‹ Previous
  • 1
  • 2
  • Next ›
  • Back to top
  • Datenschutzerklärung
  • Über uns
  • Kontaktieren Sie uns

Copyrights by www.SnowMath.com