الصفحة الرئيسية
المراحل الدراسية
رياضيات
Language
English
English (Canada)
English (United Kingdom)
中文(台灣)
中文(中国)
français
español
português
Deutsch
Nederlands
italiano
svenska
norsk
suomi
dansk
русский
العربية
日本語
한국어
ไทย
Tiếng Việt
हिन्दी
English
🌞 وضع الإضاءة
🌙 الوضع الداكن
دورات الرياضيات
العد ، تعلم الأرقام
كتابة الأرقام
عد الأعداد
جمع
الجمع حتى 5
الجمع حتى 10
الجمع في غضون 20
الجمع حتى 100
الجمع حتى 1000
جمع مكون من رقمين
جمع 3 أرقام
جمع 4 أرقام
جمع 5 أرقام
الطرح
الطرح في غضون 10
الطرح في غضون 20
عملية طرح مكونة من رقمين
عملية طرح مكونة من 3 أرقام
الضرب
ضرب 9x9
ضرب 20x20
مضاعفة رقم 2
مضاعفة 3 أرقام
قسمة
قسمة (رقمان)
قسمة (3 أرقام)
ترتيب العمليات
ترتيب العمليات مع الأعداد الصحيحة
ترتيب العمليات مع الكسور
ترتيب العمليات مع الكسور العشرية
العوملة الأولية
العامل المشترك الأكبر
المضاعف المشترك الأصغر
عوامل العدد
الكسور
الكسور المتكافئة
جمع الكسور
الكسور الطرح
الكسور الضرب
قسمة الكسور
الكسور العشرية
جمع الكسور العشرية
الكسور العشرية الطرح
ضرب الكسور العشرية
قسمة الكسور العشرية
اضرب الكسور العشرية في قوى العدد عشرة
الأس
أسس بسيطة
الدعاة (أساسيات الجبر)
حساب الأسس
النسب المئوية
النسب المئوية والكسور
النسب المئوية والأرقام العشرية
النسب المئوية للأعداد
الجبر
معادلات خطية ذات متغير واحد
معادلات خطية ذات متغيرين
كثيرات الحدود
تحليل كثيرات الحدود إلى عوامل
حل المعادلات متعددة الحدود
القوى والأسس
المراحل الدراسية
روضة أطفال
الصف 1
الصف 2
الصف 3
الصف 4
الصف 5
الصف 6
الصف 7
الصف 8
الصف 9
الصف 10
الصف 11
الصف 12
الصفحة الرئيسية
ترتيب العمليات
ترتيب العمليات مع الكسور العشرية
(10) أربعة كسور ، كسور عشرية ، ترتيب العمليات مع أقواس
(10) أربعة كسور ، كسور عشرية ، ترتيب العمليات مع أقواس
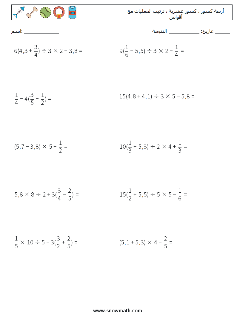
أربعة كسور وكسور عشرية ، ترتيب العمليات مع أقواس
(10) أربعة كسور ، كسور عشرية ، ترتيب العمليات مع أقواس أوراق عمل الرياضيات 1
(10) أربعة كسور ، كسور عشرية ، ترتيب العمليات مع أقواس أوراق عمل الرياضيات 2
(10) أربعة كسور ، كسور عشرية ، ترتيب العمليات مع أقواس أوراق عمل الرياضيات 3
(10) أربعة كسور ، كسور عشرية ، ترتيب العمليات مع أقواس أوراق عمل الرياضيات 4
(10) أربعة كسور ، كسور عشرية ، ترتيب العمليات مع أقواس أوراق عمل الرياضيات 5
(10) أربعة كسور ، كسور عشرية ، ترتيب العمليات مع أقواس أوراق عمل الرياضيات 6
(10) أربعة كسور ، كسور عشرية ، ترتيب العمليات مع أقواس أوراق عمل الرياضيات 7
(10) أربعة كسور ، كسور عشرية ، ترتيب العمليات مع أقواس أوراق عمل الرياضيات 8
(10) أربعة كسور ، كسور عشرية ، ترتيب العمليات مع أقواس أوراق عمل الرياضيات 9
‹ Previous
1
2
Next ›