首页
  • 年级
  • 数学
  • Language
    English English (Canada) English (United Kingdom) 中文(台灣) 中文(中国) français español português Deutsch Nederlands italiano svenska norsk suomi dansk русский العربية 日本語 한국어 ไทย Tiếng Việt हिन्दी
  • English
数学课程
数数, 写数字 写数字 数数字 加法 5以内加法 10以内加法 20以内加法 加法-100以内 1000以内加法 2位数加法 3位数加法 4位数加法 5位数加法 减法 10以内减法 20以内减法 2位数减法 3位数减法 乘法 9x9 乘法 20x20 乘法 2位数乘法 3位数乘法 除法 除法 (2位数) 除法 (3位数) 四则运算规则 整数四则运算 分数四则运算 小数四则运算 因数分解, 公因数, 公倍数 最大公因数 最小公倍数 因数计算 分数 分数基础 分数加法 分数减法 分数乘法 分数除法 小数 小数加法 小数减法 小数乘法 小数点除法 小数乘法(10倍数) 指数 指数基础 指数(代数基础) 指数加减乘除四则运算 百分比 百分比与分数转换 百分比与小数转换 数字的百分比 代数方程式 不等式 一元一次方程式 二元一次方程式 多项式方程式 多项式因式分解 求解多项式方程 幂和指数
年级 幼儿园 国小一 国小二 国小三 国小四 国小五 国小六 国一 国二 国三 高一 高二 高三
  1. 首页

  2. 四则运算规则

  3. 小数四则运算

  4. 4个分数小数的四则运算(有括号)

  5. 数学练习题 15

开启 PDF文档
下载 PDF文档
 
 
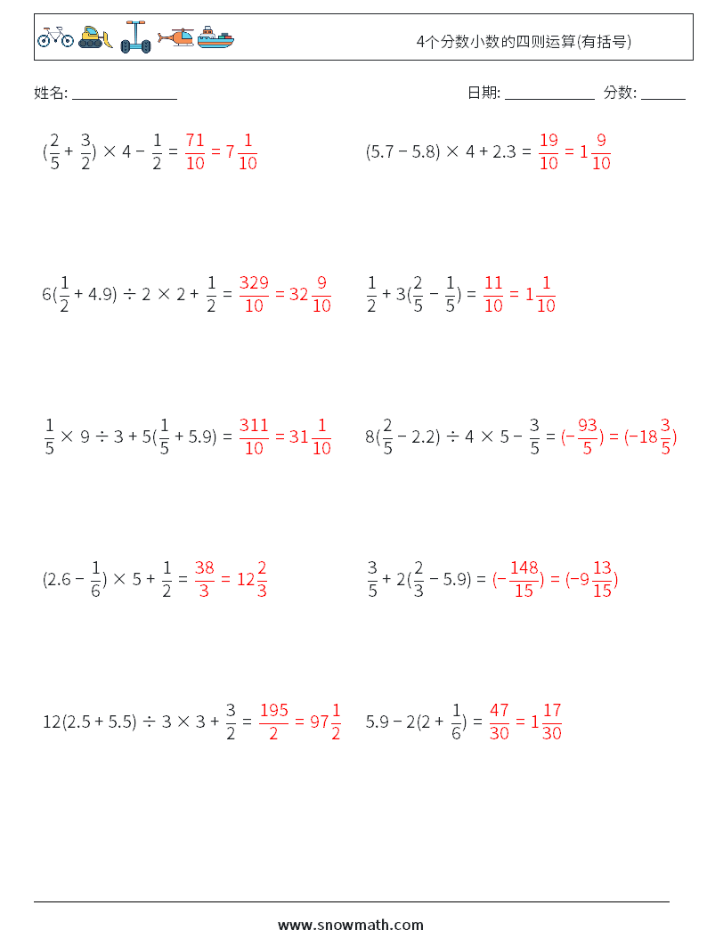
4个分数小数的四则运算(有括号) 数学练习题 15


4个分数小数的四则运算(有括号) 数学练习题 15 问题,解答


  • Back to top
  • 隐私政策
  • 关於我们
  • 联系我们

Copyrights by www.SnowMath.com