Home
  • Grades
  • Math
  • Language
    English English (Canada) English (United Kingdom) 中文(台灣) 中文(中国) français español português Deutsch Nederlands italiano svenska norsk suomi dansk русский العربية 日本語 한국어 ไทย Tiếng Việt हिन्दी
  • English
MathCourses
Counting, Learn Numbers Skrive tall Telle tall Addisjon Addisjon opptil 5 Addisjon opptil 10 Addisjon innen 20 Addisjon opptil 100 Addisjon opptil 1000 2-sifret tillegg 3-sifret tillegg 4-sifret tillegg 5-sifret tillegg Subtraksjon Subtraksjon innen 10 Subtraksjon innen 20 2-sifret subtraksjon Tresifret subtraksjon Multiplikasjon Multiplikasjon 9x9 Multiplikasjon 20x20 2-sifret multiplikasjon 3-sifret multiplikasjon Divisjon Divisjon (2 siffer) Divisjon (tresifret) Operasjonsrekkefølge operasjonsrekkefølge med heltall operasjonsrekkefølge med brøk operasjonsrekkefølge med desimaler Prime Factorization Største fellesfaktor Minst vanlig multiplum Faktorer for et tall Brøk Ekvivalente brøker Fraksjoner Addisjon Fraksjoner Subtraksjon Brøker Multiplikasjon Brøkdelingen Desimaler Desimaltall Desimaler Subtraksjon Desimal Multiplikasjon Desimalavdeling Multipliser desimaler med ti Eksponenter Enkle eksponenter Eksponenter (grunnleggende algebra) Aritmetikk for eksponenter Prosent Prosent og brøk Prosent og desimal Prosent av tall Algebra Ulikheter En-variabel lineære ligninger To-variabler lineære ligninger Polynom Faktorisering av polynom Løsning av polynomligninger Powers and Exponents
Grades barnehage klasse 1 klasse 2 klasse 3 klasse 4 klasse 5 klasse 6 klasse 7 klasse 8 klasse 9 klasse 10 klasse VG1 klasse VG2
  1. Home

  2. Operasjonsrekkefølge

  3. operasjonsrekkefølge med desimaler

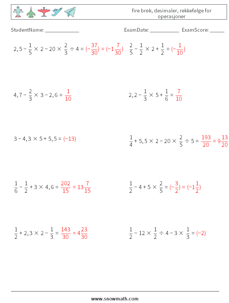
  4. (10) fire brøk, desimaler, rekkefølge for operasjoner

  5. MathWorksheets 3

OpenPdf
DownloadPdf
 
 
(10) fire brøk, desimaler, rekkefølge for operasjoner MathWorksheets 3


(10) fire brøk, desimaler, rekkefølge for operasjoner MathWorksheets 3 QuestionAnswer


  • Back to top
  • PrivacyPolicy
  • AboutUs
  • ContactUs

Copyrights by www.SnowMath.com