Thuis
  • Rang
  • Wiskunde
  • Language
    English English (Canada) English (United Kingdom) 中文(台灣) 中文(中国) français español português Deutsch Nederlands italiano svenska norsk suomi dansk русский العربية 日本語 한국어 ไทย Tiếng Việt हिन्दी
  • English
Wiskunde Cursussen
Tellen, nummers leren Nummers schrijven Nummers tellen Optellen Optellen tot 5 Optellen tot 10 Optellen binnen 20 Optellen tot 100 Optellen tot 1000 2-cijferige optelling 3-cijferige optelling 4-cijferige optelling 5-cijferige optelling Aftrekken Aftrekken binnen 10 Aftrekken binnen 20 2-cijferige aftrekking 3-cijferige aftrekking Vermenigvuldiging Vermenigvuldiging 9x9 Vermenigvuldiging 20x20 2-cijferige vermenigvuldiging 3-cijferige vermenigvuldiging Delen Deling (2 cijfers) Delen (3 cijfers) Volgorde van bewerkingen volgorde van bewerkingen met gehele getallen volgorde van bewerkingen met breuken volgorde van bewerkingen met decimalen Ontbinden in priemfactoren Grootste gemene deler Kleinste gemene veelvoud Factoren van een getal Breuken Equivalente breuken Breuken optellen Breuken aftrekken Breuken Vermenigvuldiging Breuken Divisie Decimalen Decimalen Optellen Decimalen aftrekken Decimalen Vermenigvuldiging Decimalen Divisie Vermenigvuldig decimalen met machten van tien Exponenten Eenvoudige exponenten Exponenten (basis van algebra) Rekenen van exponenten Procenten Procenten en breuken Procenten en decimalen Percentages van getallen Algebra Ongelijkheden Lineaire vergelijkingen met één variabele Lineaire vergelijkingen met twee variabelen Veeltermen Factorisatie van veeltermen Polynomiale vergelijkingen oplossen Machten en exponenten
Rang Kleutergroepen groep 3 groep 4 groep 5 groep 6 groep 7 groep 8 VWO 1 VWO 2 VWO 3 VWO 4 VWO 5 VWO 6
  1. Thuis

  2. Volgorde van bewerkingen

  3. volgorde van bewerkingen met decimalen

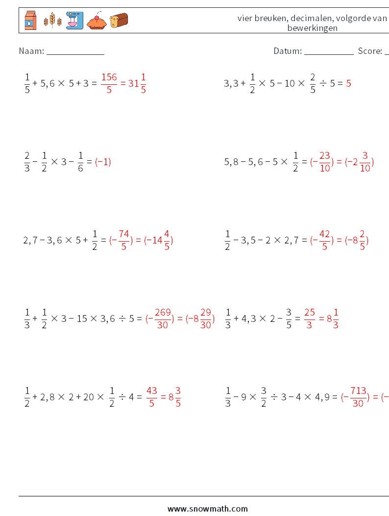
  4. (10) vier breuken, decimalen, volgorde van bewerkingen

  5. Wiskundige werkbladen 18

PDF openen
PDF downloaden
 
 
(10) vier breuken, decimalen, volgorde van bewerkingen Wiskundige werkbladen 18


(10) vier breuken, decimalen, volgorde van bewerkingen Wiskundige werkbladen 18 Vraag, Antwoord


  • Back to top
  • Privacybeleid
  • Over ons
  • Neem contact met ons op

Copyrights by www.SnowMath.com