ホーム
  • 学年
  • 数学
  • Language
    English English (Canada) English (United Kingdom) 中文(台灣) 中文(中国) français español português Deutsch Nederlands italiano svenska norsk suomi dansk русский العربية 日本語 한국어 ไทย Tiếng Việt हिन्दी
  • English
数学コース
数え方、数を学ぶ 数字を書く 数を数える 加算 5までの加算 10までの加算 20以内の加算 100までの加算 1000までの加算 2桁の加算 3桁の加算 4桁の加算 5桁の加算 引き算 10以内の引き算 20以内の引き算 2桁の減算 3桁の引き算 乗算 掛け算9x9 掛け算20x20 2桁の乗算 3桁の乗算 割り算 除算(2桁) 割り算(3桁) 演算の優先順位 整数を使用した演算の順序 分数を使用した演算の順序 小数を使用した演算の順序 素因数分解 最大公約数 最小公倍数 数の因数 分数 同等の分数 分数の加算 分数引き算 分数の掛け算 分数除算 小数 小数の加算 小数の引き算 小数の掛け算 小数部 小数に10の累乗を掛ける 指数 単純な指数 指数(代数の基礎) 指数の算術 パーセント パーセントと分数 パーセントと小数 数のパーセント 代数 不等式 1変数線形方程式 2変数線形方程式 多項式 多項式の因数分解 多項式の解法 べき乗と指数
学年 幼稚園 小学校 1年 小学校 2年 小学校 3年 小学校 4年 小学校 5年 小学校 6年 中学校 1年 中学校 2年 中学校 3年 高校 1年 高校 2年 高校 3年
  1. ホーム

  2. 演算の優先順位

  3. 小数を使用した演算の順序

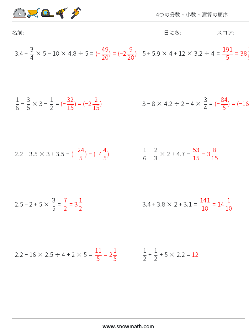
  4. (10) 4つの分数、小数、演算の順序

  5. 数学ワークシート 16

PDFを開く
PDFをダウンロード
 
 
(10) 4つの分数、小数、演算の順序 数学ワークシート 16


(10) 4つの分数、小数、演算の順序 数学ワークシート 16 質問、回答


  • Back to top
  • プライバシーポリシー
  • 私たちについて
  • お問い合わせ

Copyrights by www.SnowMath.com