Etusivu
  • Arvosana
  • Matematiikka
  • Language
    English English (Canada) English (United Kingdom) 中文(台灣) 中文(中国) français español português Deutsch Nederlands italiano svenska norsk suomi dansk русский العربية 日本語 한국어 ไทย Tiếng Việt हिन्दी
  • English
Matematiikan kurssit
Laskeminen, Opi numeroita Numeroiden kirjoittaminen Numeroiden laskeminen Lisäys Lisäys enintään 5 Yhteenlasku enintään 10 Lisäys 20: n sisällä Yhteenlasku jopa 100 Yhteenlasku jopa 1000 2-numeroinen lisäys 3-numeroinen lisäys 4-numeroinen lisäys 5-numeroinen lisäys Vähennys Vähennys 10: n sisällä Vähennys 20: n sisällä 2-numeroinen vähennyslasku 3-numeroinen vähennyslasku Kertolasku Kertolasku 9x9 Kertolasku 20x20 2-numeroinen kertolasku 3-numeroinen kertolasku Jako Division (2 numeroa) Jakso (3 -numeroinen) Operaatioiden järjestys kokonaislukujen operaatiojärjestys operaatiojärjestys murtoluvuilla operaatiojärjestys desimaaleilla Prime Factorization Suurin yhteinen tekijä Vähiten yhteinen monikerta Luvun tekijät Murtoluvut Vastaavat murtoluvut Murtoluvut Lisäys Murtoluvut Vähennys Murtoluvut kertolasku Murtoluvut Desimaalit Desimaalien yhteenlasku Desimaalien vähennyslasku Desimaalien kertolasku Desimaalit Kerro desimaalit kymmenen voimalla Eksponentit Yksinkertaiset eksponentit Eksponentit (algebran perusteet) Eksponenttien aritmetiikka Prosentit Prosentit ja murtoluvut Prosentit ja desimaalit Prosentteja numeroista Algebra Eriarvoisuudet Yhden muuttujan lineaariset yhtälöt Kahden muuttujan lineaariset yhtälöt Polynomit Polynomien faktorointi Polynomiyhtälöiden ratkaiseminen Voimat ja eksponentit
Arvosana päiväkoti Luokkien 1 Luokkien 2 Luokkien 3 Luokkien 4 Luokkien 5 Luokkien 6 Luokkien 7 Luokkien 8 Luokkien 9 Luokkien 10 Luokkien 11 Luokkien 12
  1. Etusivu

  2. Operaatioiden järjestys

  3. operaatiojärjestys desimaaleilla

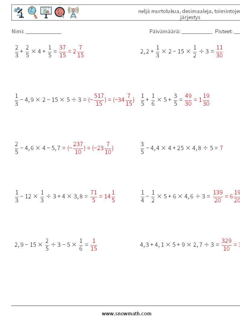
  4. (10) neljä murtolukua, desimaaleja, toimintojen järjestys

  5. Matematiikan laskentataulukot 16

Avaa PDF
Lataa PDF
 
 
(10) neljä murtolukua, desimaaleja, toimintojen järjestys Matematiikan laskentataulukot 16


(10) neljä murtolukua, desimaaleja, toimintojen järjestys Matematiikan laskentataulukot 16 Kysymys, vastaus


  • Back to top
  • Tietosuojakäytäntö
  • Meistä
  • Ota yhteyttä

Copyrights by www.SnowMath.com