Inicio
  • grado escolar
  • Matemáticas
  • Language
    English English (Canada) English (United Kingdom) 中文(台灣) 中文(中国) français español português Deutsch Nederlands italiano svenska norsk suomi dansk русский العربية 日本語 한국어 ไทย Tiếng Việt हिन्दी
  • English
Cursos de matemáticas
Contar, aprender números Escribir números Contar números Suma Suma hasta 5 Suma hasta 10 Suma hasta 20 Suma hasta 100 Suma hasta 1000 Suma de 2 dígitos Suma de 3 dígitos Suma de 4 dígitos Suma de 5 dígitos Resta Resta hasta 10 Resta hasta 20 Resta de 2 dígitos Resta de 3 dígitos Multiplicación Multiplicación 9x9 Multiplicación 20x20 Multiplicación de 2 dígitos Multiplicación de 3 dígitos División División (2 dígitos) División (3 dígitos) Orden de operaciones orden de operaciones con números enteros orden de operaciones con fracciones orden de operaciones con decimales Factorización prima Máximo Común Factor Mínimo común múltiplo Factores de un número Fracciones Fracciones equivalentes Fracciones Suma Fracciones Resta Fracciones Multiplicación División de fracciones Decimales Suma de decimales Resta de decimales Multiplicación de decimales División de decimales Multiplica decimales por potencias de diez Exponentes Exponentes simples Exponentes (conceptos básicos de álgebra) Aritmética de exponentes Porcentajes Porcentajes y fracciones Porcentajes y decimales Porcentajes de números Álgebra Desigualdades Ecuaciones lineales de una variable Ecuaciones lineales de dos variables Polinomios Factorización de polinomios Resolución de ecuaciones polinomiales Potencias y exponentes
grado escolar Segundo ciclo 1º Primaria 2º Primaria 3º Primaria 4º Primaria 5º Primaria 6º Primaria 1º ESO 2º ESO 3º ESO 4º ESO 1º Bachillerato 2º Bachillerato
  1. Inicio

  2. Orden de operaciones

  3. orden de operaciones con decimales

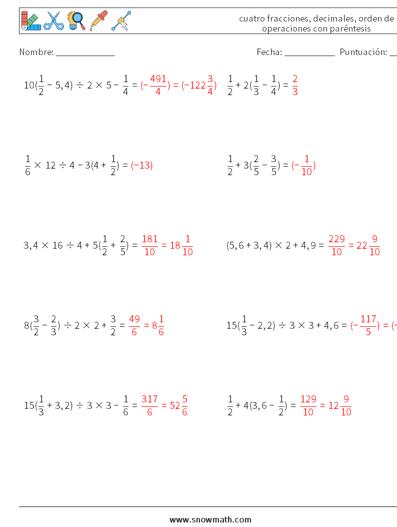
  4. (10) cuatro fracciones, decimales, orden de operaciones con paréntesis

  5. Hojas de trabajo de matemáticas 11

Abrir PDF
Descargar PDF
 
 
(10) cuatro fracciones, decimales, orden de operaciones con paréntesis Hojas de trabajo de matemáticas 11


(10) cuatro fracciones, decimales, orden de operaciones con paréntesis Hojas de trabajo de matemáticas 11 Pregunta, respuesta


  • Back to top
  • Política de privacidad
  • Acerca de nosotros
  • Contáctenos

Copyrights by www.SnowMath.com