Home
  • Grade
  • Maths
  • Language
    English English (Canada) English (United Kingdom) 中文(台灣) 中文(中国) français español português Deutsch Nederlands italiano svenska norsk suomi dansk русский العربية 日本語 한국어 ไทย Tiếng Việt हिन्दी
  • English
Math Courses
Counting,Learn Numbers Writing Numbers Counting Numbers Addition Addition up to 5 Addition up to 10 Addition within 20 Addition up to 100 Addition up to 1000 2-Digit Addition 3-Digit Addition 4-Digit Addition 5-Digit Addition Subtraction Subtraction within 10 Subtraction within 20 2-Digit Subtraction 3-Digit Subtraction Multiplication Multiplication 9x9 Multiplication 20x20 2-Digit Multiplication 3-Digit Multiplication Division Dividing 2 digit Dividing 3 digit Order of Operations Order of Operations with Integers Order of Operations with fractions Order of Operations with decimals Factorization, GCF, LCM Find the Greatest Common Factor Find the Least Common Multiple Factors of a Number Fractions Equivalent fractions Fractions Addition Fractions Subtraction Fractions Multiplication Fractions Division Decimals Decimals Addition Decimals Subtraction Decimals Multiplication Decimals Division Multiply decimals by powers of ten Exponents Simple Exponents Exponents (Algebra basics) Arithmetic of Exponents Percents Percents and Fractions Percents and Decimals Percents of Numbers Algebra Inequalities One-Variable Linear Equations System of Linear Equations, Two-Variables Linear Equations Polynomials Factoring Polynomials Solving Polynomial Equations Powers and Exponents
Grade PreSchool Year 1 Year 2 Year 3 Year 4 Year 5 Year 6 Year 7 Year 8 Year 9 Year 10 Year 11 Year 12
  1. Home

  2. Order of Operations

  3. Order of Operations with decimals

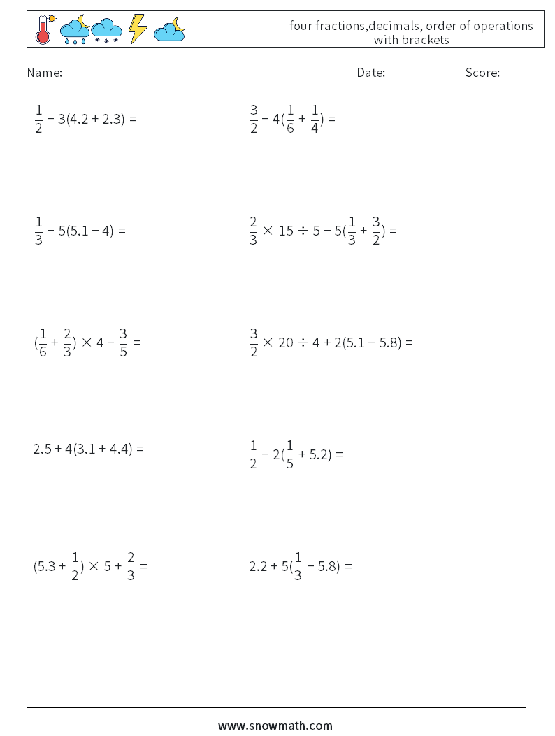
  4. four fractions,decimals, order of operations with brackets

  5. Maths Worksheets 4

Open PDF
Download PDF
 
 
four fractions,decimals, order of operations with brackets Maths Worksheets 4


four fractions,decimals, order of operations with brackets Maths Worksheets 4 Question, Answer


  • Back to top
  • Privacy Policy
  • About Us
  • Contact Us

Copyrights by www.SnowMath.com