Hjem
  • skole karakter
  • Matematik
  • Language
    English English (Canada) English (United Kingdom) 中文(台灣) 中文(中国) français español português Deutsch Nederlands italiano svenska norsk suomi dansk русский العربية 日本語 한국어 ไทย Tiếng Việt हिन्दी
  • English
Matematikkurser
Tælle, lære tal Skrivning af tal Tællingstal Addition Tilføjelse op til 5 Tilføjelse op til 10 Tilføjelse inden for 20 Tilføjelse op til 100 Tilføjelse op til 1000 2-cifret tilføjelse 3-cifret tilføjelse 4-cifret tilføjelse 5-cifret tilføjelse Subtraktion Subtraktion inden for 10 Subtraktion inden for 20 2-cifret subtraktion Trecifret subtraktion Multiplikation Multiplikation 9x9 Multiplikation 20x20 2-cifret multiplikation 3-cifret multiplikation Division Division (2 cifre) Division (3 cifret) Operationsorden rækkefølge af operationer med heltal operationsordning med brøker operationsordning med decimaler Prime Factorization Største fælles faktor Mindst fælles multiplum Faktorer for et tal Brøker Ækvivalente brøker Tilføjelse af brøker Fraktioner Subtraktion Brøker Multiplikation Brøkdelingen Decimaler Decimaltilskud Decimaler Subtraktion Decimaler Multiplikation Decimalafdeling Multiplicér decimaler med ti Eksponenter Enkle eksponenter Eksponenter (Algebra basics) Aritmetik for eksponenter Procent Procent og brøk Procent og decimal Procent af tal Algebra Uligheder En-variabel lineære ligninger Lineære ligninger med to variabler Polynomier Faktorisering af polynomer Løsning af polynomiske ligninger Beføjelser og eksponenter
skole karakter børnehave 1. klasse 2. klasse 3. klasse 4. klasse 5. klasse 6. klasse 7. klasse 8. klasse 9. klasse 10. klasse 11. klasse 12. klasse
  1. Hjem

  2. Operationsorden

  3. operationsordning med decimaler

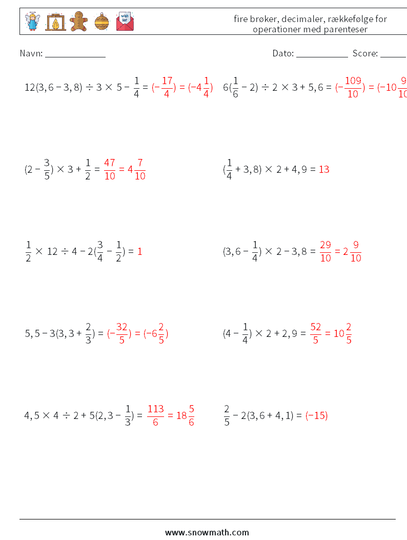
  4. (10) fire brøker, decimaler, rækkefølge for operationer med parenteser

  5. Matematiske regneark 11

Åbn PDF
Download PDF
 
 
(10) fire brøker, decimaler, rækkefølge for operationer med parenteser Matematiske regneark 11


(10) fire brøker, decimaler, rækkefølge for operationer med parenteser Matematiske regneark 11 Spørgsmål, svar


  • Back to top
  • Fortrolighedspolitik
  • Om os
  • Kontakt os

Copyrights by www.SnowMath.com